by Dish Staff
That’s the contention of Brendan Nyhan, who calls the bipartisanship of the mid-20th century “a historical anomaly.” Hans Noel compares our period of polarization to previous ones using the above chart:
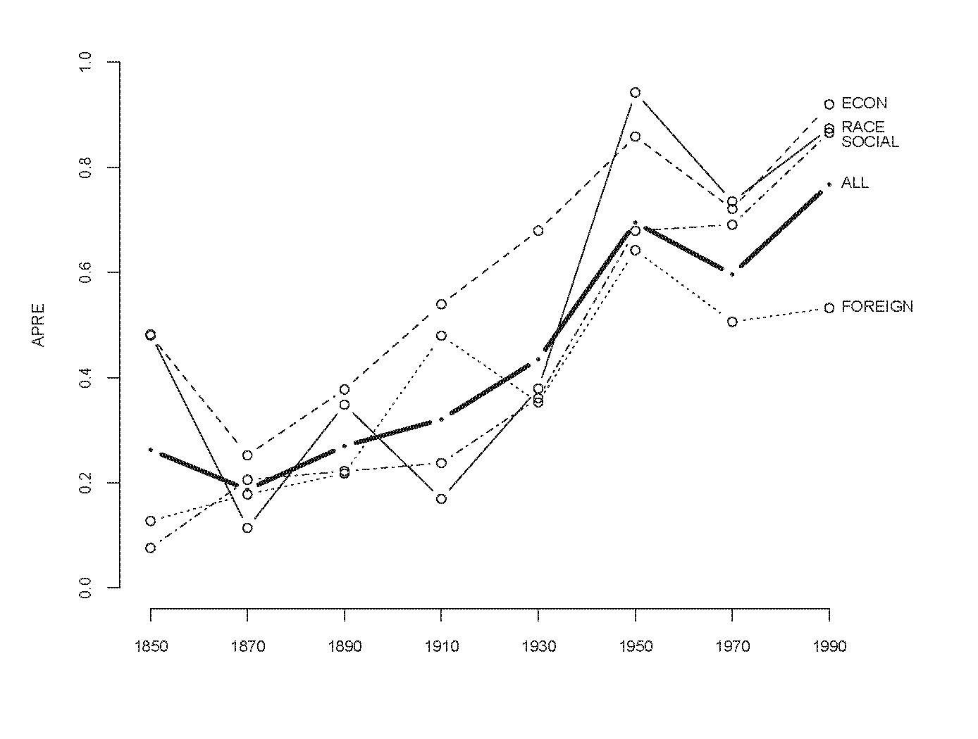
The parties were definitely polarized 100 years ago, but not on the basis of such widely held ideologies. There were ideological conflicts, to be sure, but they were not organized around a liberal pole opposed to a conservative pole. Those poles emerged, largely coming into full force by about 1950. It is hard to compare ideological conflict in the era of ideological blogs, cable news and talk radio to an era of pamphleteering and partisan newspapers. But the analysis in Political Ideologies and Political Parties in America suggests that ideology was less one-dimensional in the 19th century. Over time, liberal and conservative ideology has been sharper on every issue area, including race but also economics, social issues and foreign policy. This figure shows how well a one-dimensional model fits the opinions of writers in major political journals over time. The ideological organization increases in all issue areas from 1850 to 1990.
Julia Azari chimes in:
Why does this shift from party to ideology matter?
Parties – even ones that are ideologically sorted – are collective enterprises. They’re organizations and coalitions. Leading a party involves brokering among interests and distinct groups. Articulating an ideology does not. To the extent that presidential rhetoric shapes public expectations about what leaders will be able to accomplish, laying out an ideological agenda makes compromise even more difficult to achieve. As Hans points out, “Speaker Boehner has to placate a Tea Party faction that mostly differs with mainstream Republicans over how much they should compromise with Democrats.” When the president tells the nation that the election was a contest between highly distinct governing visions, it’s even harder for members of Congress to defend compromise to their constituents.
When presidents cast themselves as the vessels of new political visions, they contribute to the idea that the right leader, with the right words and enough political will, can simply cut through the “mess in Washington” – i.e., the organized interests of the people of the United States, and the Constitutional checks and balances – in order to bring about wholesale change and costless problem-solving. (Nyhan has smartly labeled this the “green lantern theory of the presidency,” and president scholars like George Edwards and the late Richard Neustadt have long noted the gap between expectations and actual presidential capacity.)
